▼
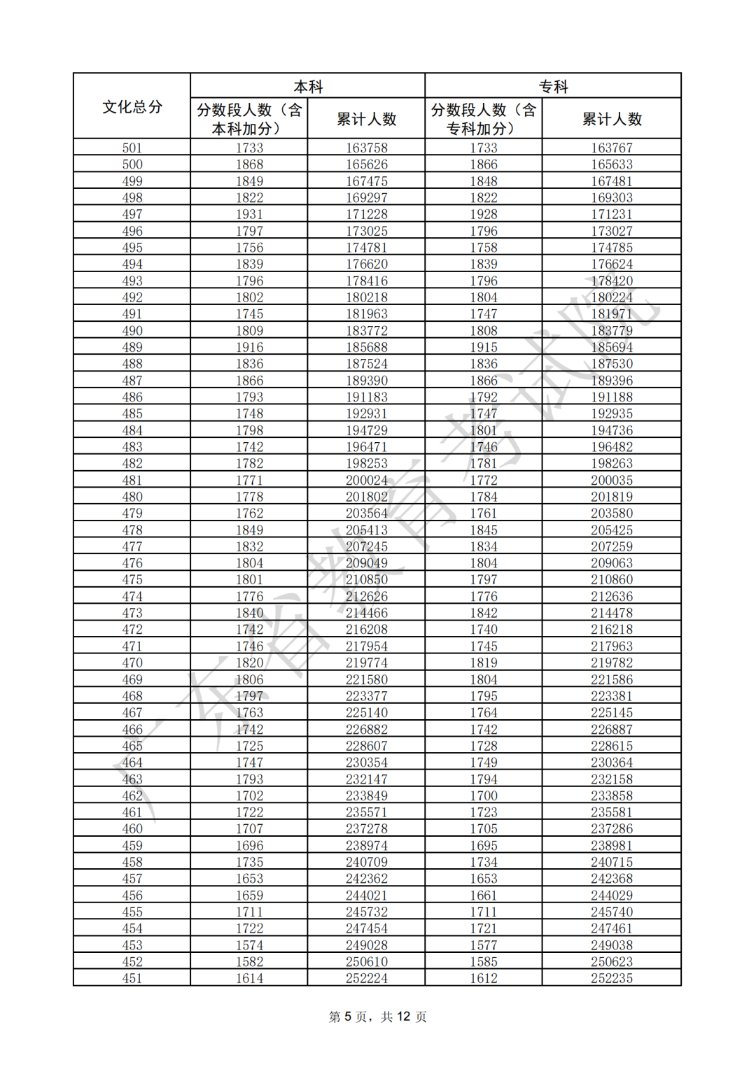
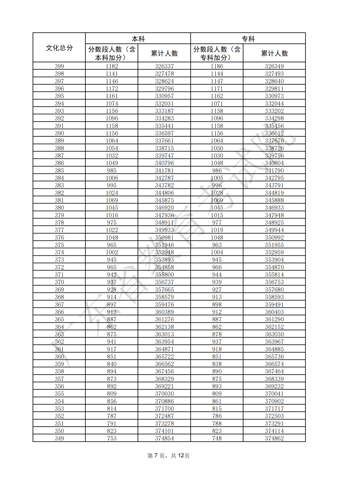
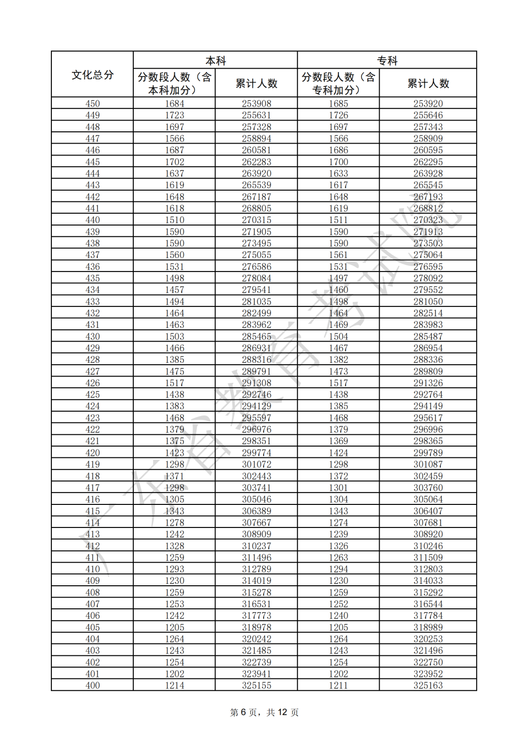
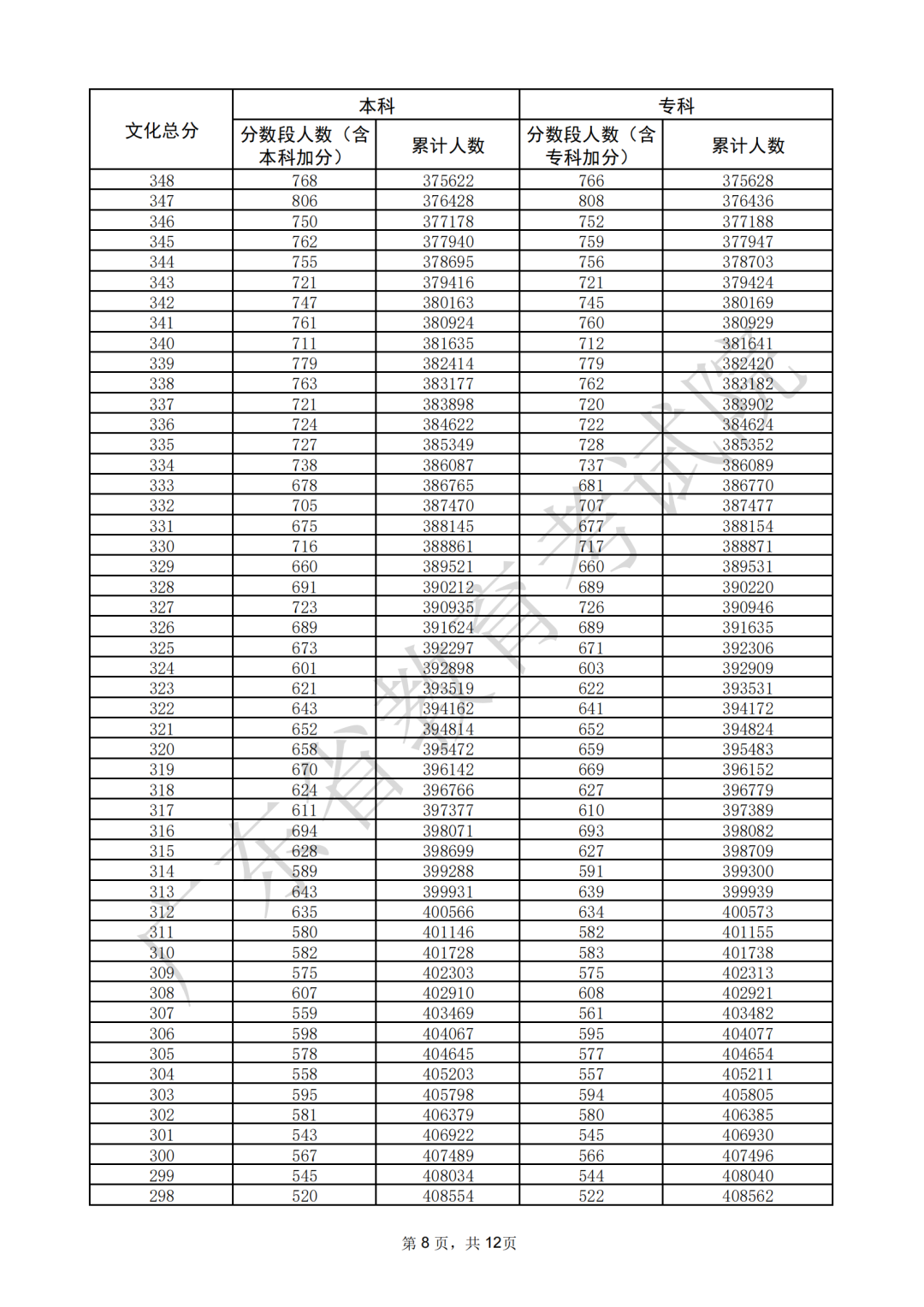
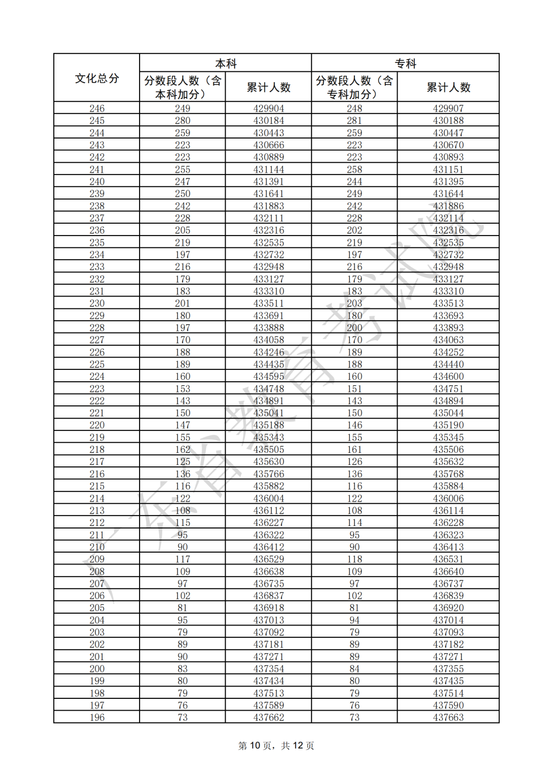
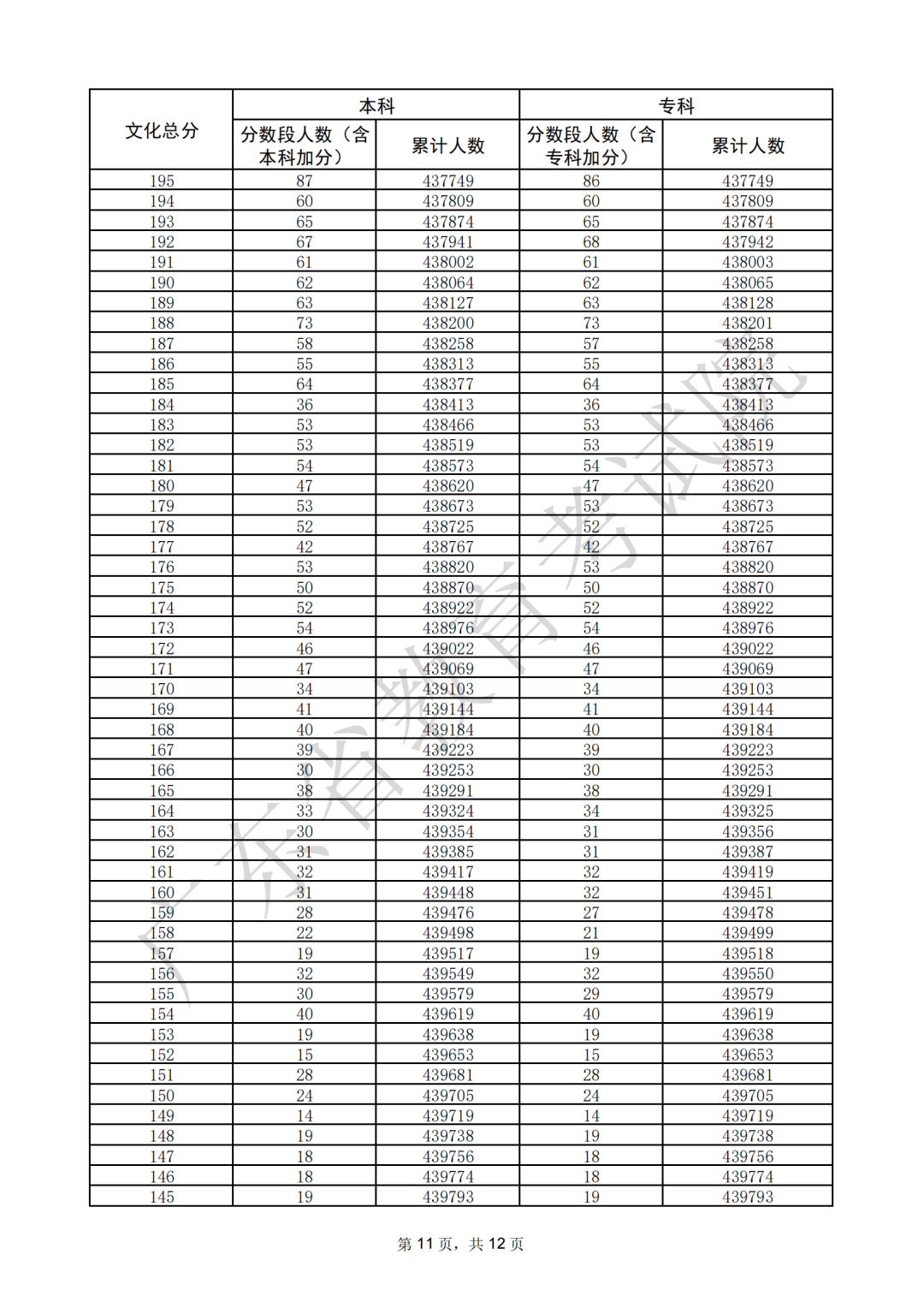
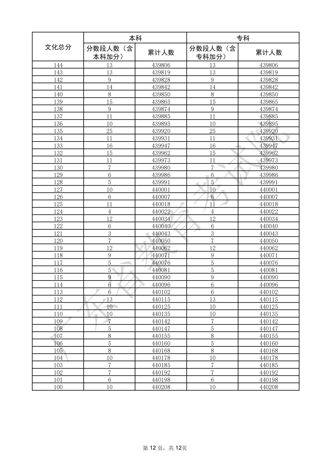
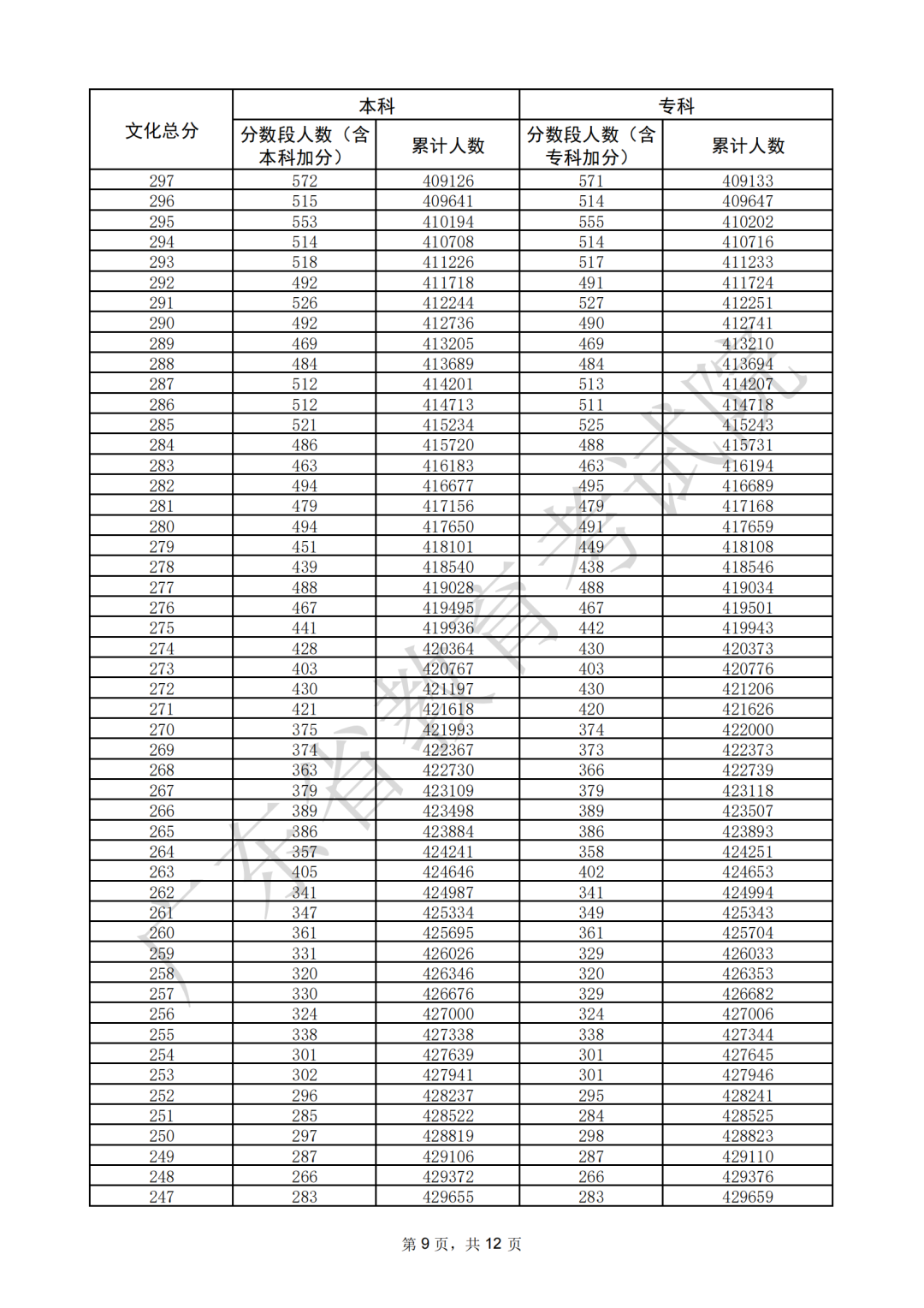
2025广东高考一分一段表
普通类(历史)
下载2025广东高考一分一段表
请在广东大学生公众号回复:一分一段表
36.7万人过本科线
查看2025/2024年各高校招生计划对比
各高校2025年各专业招生计划数
请在广东大学生公众号回复:计划
感受广州商学院这所学府的魅力
学校地处粤港澳大湾区
科技创新走廊这一国家级战略轴线
学校围绕粤港澳大湾区社会经济发展需求
不断强化“新商科+泛ICT融合”的
特色学科专业群建设
形成经济学、管理学、工学、文学
法学、艺术学、教育学等多学科
相互支撑、交叉融合、协同发展的
学科专业布局
在广商,你的课程很有料
近年来
学校科研实力不断攀升
科研成果喜报频传
近三年连续获评
“最佳科研生态位民办本科院校”
学校引进国家级人才称号获得者2人
现有专任教师近1500人
专任教师中硕士及以上学位占比超90%
博士学位教师超400人
高级职称教师近400人
广东省“南粤优秀教师”7人
在广商,你的老师真的很不错
学校现已同美国、英国、澳大利亚等
国家及港澳地区共140所知名高校
建立合作关系
是广东国际化办学层次
最多的本科高校之一
已招收两届来自境外的国际学生
在广商,你的同学很有“国际范”
2024年,我校首个海外教学中心
正式落户新加坡
标志着课程“出海”战略迈出了关键一步
开启了学校国际化办学
“引进来”与“走出去”双向发展的新篇章
学校与澳门科技大学、广东金融学院
联合培养研究生
为广商学子搭建更高、更好的学习平台
学校通过“4种培养途径”
培养具备“4种能力”和“4个特征”
且具有高度社会责任感和使命感的时代新人
学校创新人才培养模式
依托数智化教学和个性化培养
激发学生成长动力
在广商,你的成长可以很“个性”
学校与政府、行业、企业协同育人
深化产教融合教学改革
注重提高学生综合能力与行业需求的匹配度
上课就是实战
在广商,你的学习可以很“逼真”
企业参访、实地见习
企业导师走进校园授课
广商学子走进企业见习
理论+实践,学习即“上手”
广州商学院“向日葵大学堂”
正式开课
以“百千万计划”
聚焦“学术淬炼-实践赋能-终身成长”三维生态
构建全链条育人体系
助力广商学子拓展跨学科国际化视野
在广商,你的收获可以很“增值”
近三年来,学生获奖喜报频传
中国国际大学生创新大赛
全国“挑战杯”系列大赛
华为ICT大赛等学科竞赛活动
获省级以上奖项1300多项
历届毕业生受到社会和
用人单位的广泛认可
学无止境 阅行山海
近年来,学校不断优化办学条件
致力于打造全方位、高品质的学习环境
走进广商,可以发现
楼宇林立,简约高级
东湖静谧,相映成趣
在广商,你的成长环境可以很优美
学校“网红”图书馆全馆焕新
有约309万册纸质图书
1至5层,层层精彩
弘书阁、钟书楼
喵言书语、动漫天地……
总有一款能够Pick你
斜面书桌,保护视力
慵懒沙发,轻松小憩
悠然驿站,咖啡等你
这样的“书式”生活圈
小商内心表示:你值得拥有
学生学习支持中心
知识共享空间、考研自习室……
学校设有87个“小型图书馆”
分布于各教学楼、学生公寓
为你提供宁静专注的自习天地
在广商,你的学习天地可以很多元
204个实验、实训中心(室)
352个校外实践教学基地
其中,3个省级实验教学示范中心
14个省级大学生实践教学基地
能够充分满足各类教学实践需求
助你成为高素质应用型人才
多彩青春 乐享大学
63个学生社团供你选择
你可以成为“喜欢的自己”
音乐会、文化节、游园会……
各类文化活动
让你的课余与周末不再单调
人工智能、世界经济、法商融合……
这里有丰富的高端学术论坛、讲座
足不出校,便能与学术大咖面对面交流
学校食堂汇聚南北风味
回复 查分 查询2025广东高考成绩
回复 录取 查询2025广东高考录取结果
回复 投档 查看2025广东各高校投档线
回复 补录 查看2025最有可能补录的高校
回复 日程 查看2025广东高考录取日程表
回复 排名 查看广东2024最新大学排名
回复 宿舍 查看广东高校宿舍汇总
回复 食堂 查看广东高校食堂环境
回复 大学 查看广东高校大学介绍
回复 学费 查询广东高校学费排行
回复 住宿费 查询广东高校住宿费费排行
回复 专业分 查看24年广东高校各专业分数
回复 招生章程 查看广东高校招生规则
回复 招生计划 查看广东高校招生人数
商务合作,联系微信:gzxy111111























